《中国康复理论与实践》 ›› 2025, Vol. 31 ›› Issue (11): 1290-1302.doi: 10.3969/j.issn.1006-9771.2025.11.006

• 循证研究 • 上一篇    下一篇

不同虚拟现实技术对帕金森病患者运动功能疗效的网状Meta分析

张浩1, 许传蕾2, 魏振兴3, 马丽虹1()   

  1. 1.山东中医药大学,山东济南市 250355
    2.青岛市立医院,山东青岛市 266000
    3.山东省精神卫生中心,山东济南市 250014
  • 收稿日期:2025-08-14 修回日期:2025-09-12 出版日期:2025-11-25 发布日期:2025-11-26
  • 通讯作者: 马丽虹 E-mail:Lhma2002@163.com
  • 作者简介:张浩(2001-),男,汉族,山东济南市人,硕士研究生,主要研究方向:作业治疗研究、康复基础理论研究。
  • 基金资助:
    山东省高等医学教育研究中心科研规划项目(YJKT202112)

Comparison of different virtual reality technologies on motor function in Parkinson's disease: a network meta-analysis

ZHANG Hao1, XU Chuanlei2, WEI Zhenxing3, MA Lihong1()   

  1. 1. Shandong University of Traditional Chinese Medicine, Ji'nan, Shandong 250355, China
    2. Qingdao Municipal Hospital, Qingdao, Shandong 266000, China
    3. Shandong Mental Health Center, Ji'nan, Shandong 250014, China
  • Received:2025-08-14 Revised:2025-09-12 Published:2025-11-25 Online:2025-11-26
  • Contact: MA Lihong E-mail:Lhma2002@163.com
  • Supported by:
    Shandong Higher Medical Education Research Center Project(YJKT202112)

摘要:

目的 通过网状Meta分析(NMA)系统性地比较不同虚拟现实(VR)技术对帕金森病患者运动功能障碍的疗效。

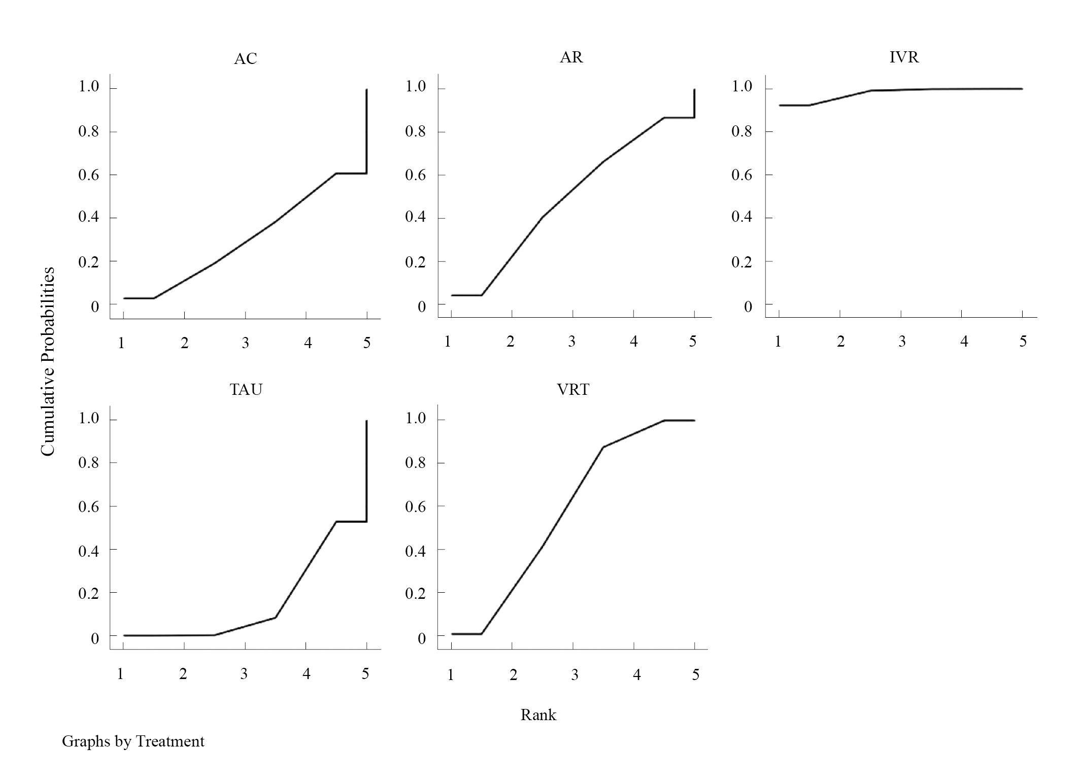
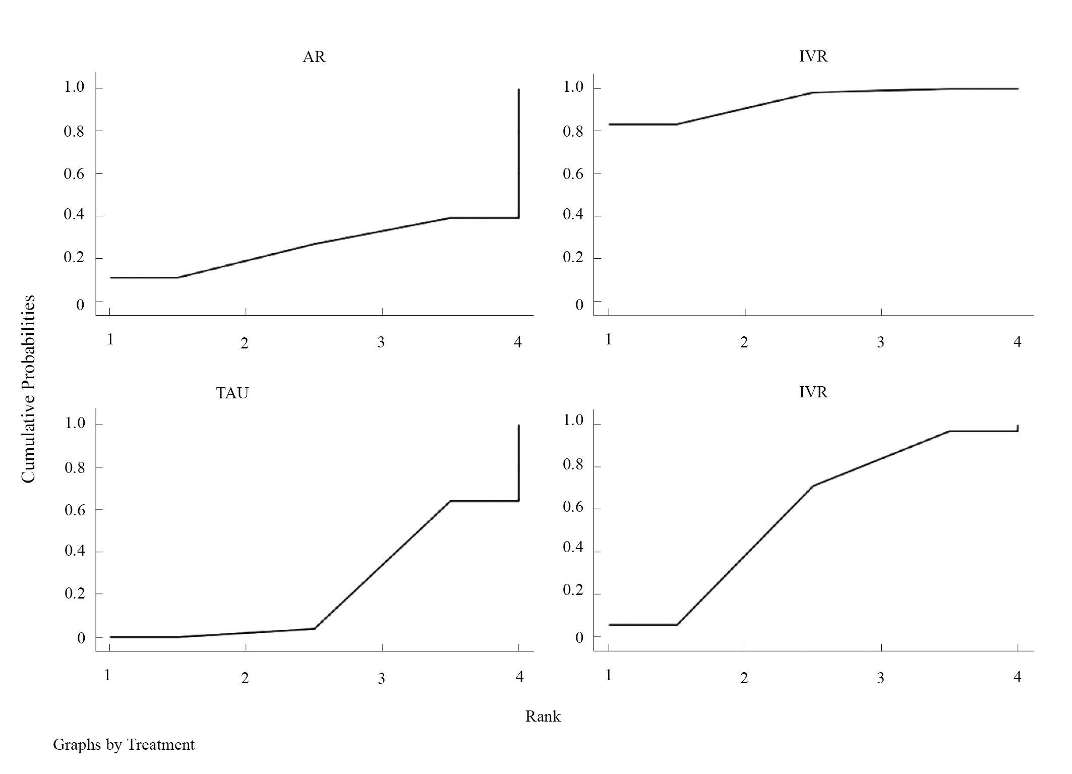
方法 遵循PRISMA-NMA指南,系统检索PubMed、Embase、Cochrane Library、Web of Science、中国知网、万方数据库和维普,纳入比较至少两种干预措施对帕金森病患者运动功能影响的随机对照试验(RCT)。干预措施包括沉浸式虚拟现实(IVR)、非沉浸式虚拟现实(VRT)、增强现实(AR)、常规疗法(TAU)和主动控制(AC)。主要结局指标包括帕金森病统一评分量表第三部分(UPDRS-Ⅲ)、Berg平衡量表(BBS)和计时起立行走测试(TUGT)。采用基于频率学派的随机效应模型进行NMA,并采用累积排序概率曲线下面积(SUCRA)对干预措施进行疗效排序。

结果 共纳入20项RCT,涉及890例患者。IVR在改善UPDRS-Ⅲ评分方面表现最优(SUCRA = 97.7%),且优于TAU (SMD = -0.82, 95%CI -1.28~-0.37);IVR成为BBS评分最优选择的概率最高(SUCRA = 85.2%),优于TAU (SMD = 3.94, 95%CI 1.08~6.80)。IVR在TUGT结局方面表现最佳(SUCRA = 95.1%),优于VRT (SMD = 1.06, 95%CI 0.40~1.72)、AR (SMD = -1.09, 95%CI -1.98~-0.19)和TAU (SMD = -1.38, 95%CI -1.95~-0.82)。亚组分析显示,IVR的疗效优势主要在短期(4~6周)干预中得到证实,而长期疗效的证据目前十分有限。

结论 在针对帕金森病患者运动功能的康复治疗中,干预措施的疗效似乎与技术的“沉浸度”正相关。IVR作为沉浸度最高的技术,是改善帕金森病患者整体运动功能、平衡能力和移动能力的最优选择。VRT和AR作为有效的辅助手段,优于TAU。

关键词: 帕金森病, 虚拟现实, 运动功能, 网状Meta分析

Abstract:

Objective To systematically compare the efficacy of different virtual reality (VR) technologies on motor dysfunction in patients with Parkinson's disease (PD) through a network meta-analysis (NMA).

Methods Following the PRISMA-NMA guidelines, randomized controlled trials (RCT) that compared the effect of at least two interventions on motor function in patients with PD were searched in PubMed, Embase, Cochrane Library, Web of Science, CNKI, Wanfang data and VIP. The interventions included immersive virtual reality (IVR), non-immersive virtual reality (VRT), augmented reality (AR), treatment as usual (TAU) and active control (AC). The primary outcomes included Unified Parkinson's Disease Rating Scale Part Ⅲ (UPDRS-Ⅲ), Berg Balance Scale (BBS) and Timed Up and Go Test (TUGT). A frequentist-based random-effects model was used to conduct NMA, and the surface under the cumulative ranking curve (SUCRA) was used to rank the interventions.

Results A total of 20 RCT involving 890 patients were included. IVR performed best in improving the score of UPDRS-Ⅲ (SUCRA = 97.7%) and was significantly superior to TAU (SMD = -0.82, 95%CI -1.28 to -0.37). IVR showed the highest probability of being the best option for the score of BBS (SUCRA = 85.2%) and was significantly superior to TAU (SMD = 3.94, 95%CI 1.08 to 6.80). IVR performed best in the outcome of TUGT (SUCRA = 95.1%) and was significantly superior to VRT (SMD = 1.06, 95%CI 0.40 to 1.72), AR (SMD = -1.09, 95%CI -1.98 to -0.19) and TAU (SMD = -1.38, 95%CI -1.95 to -0.82). However, subgroup analysis revealed that the efficacy advantage of IVR was mainly confirmed in short-term (four to six weeks) interventions, while the evidence for long-term efficacy was currently very limited.

Conclusion The efficacy of interventions on motor rehabilitation in patients with PD appears to be positively correlated with the technology's level of immersion. As the most immersive technology, IVR is the optimal choice for improving overall motor function, balance and mobility in patients with PD. VRT and AR serve as effective adjuvants and are superior to TAU.

Key words: Parkinson's disease, virtual reality, motor activity, network meta-analysis

中图分类号: